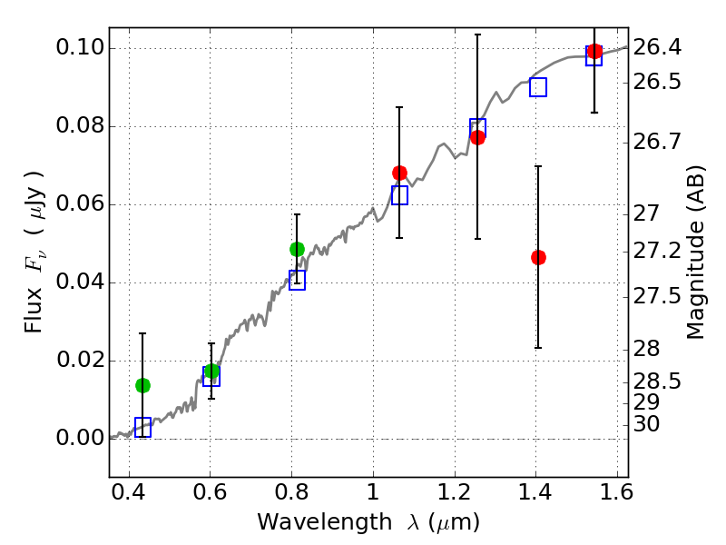
RXC0949+17 IR detection object #769

Color images and BPZ results
Catalog: 769.cat
Black segments are analyzed here.   Roll mouse over color images to view segments.
Best viewed in a wide browser window (1200 pixels or more).   Download SED & P(z) plots to view larger versions.
In P(z) plots: Yellow lines mark the cluster redshift z = 0.383,  

Object #769   x,y = (1627, 2022)   RA, Dec = (09:49:54.744, 17:06:46.80) = (147.47810, 17.11300)   BPZ = 0.425 [0.156--4.578]   type = 3.00 (Ell5_A_0)   chisq2 = 0.74   ODDS = 0.12   z_cluster = 0.383