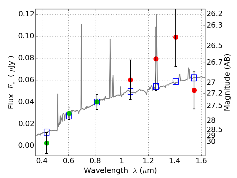
RXC0949+17 IR detection object #603

Color images and BPZ results
Catalog: 603.cat
Black segments are analyzed here.   Roll mouse over color images to view segments.
Best viewed in a wide browser window (1200 pixels or more).   Download SED & P(z) plots to view larger versions.
In P(z) plots: Yellow lines mark the cluster redshift z = 0.383,  

Object #603   x,y = (3759, 2298)   RA, Dec = (09:49:45.840, 17:07:03.36) = (147.44100, 17.11760)   BPZ = 0.395 [0.086--4.174]   type = 8.00 (SB1_B10)   chisq2 = 0.93   ODDS = 0.10   z_cluster = 0.383