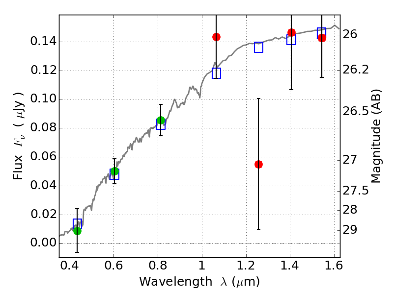
RXC0949+17 IR detection object #565

Color images and BPZ results
Catalog: 565.cat
Black segments are analyzed here.   Roll mouse over color images to view segments.
Best viewed in a wide browser window (1200 pixels or more).   Download SED & P(z) plots to view larger versions.
In P(z) plots: Yellow lines mark the cluster redshift z = 0.383,  

Object #565   x,y = (1325, 2342)   RA, Dec = (09:49:56.016, 17:07:05.88) = (147.48340, 17.11830)   BPZ = 0.156 [0.068--4.152]   type = 4.00 (Ell4_A_0)   chisq2 = 0.65   ODDS = 0.11   z_cluster = 0.383