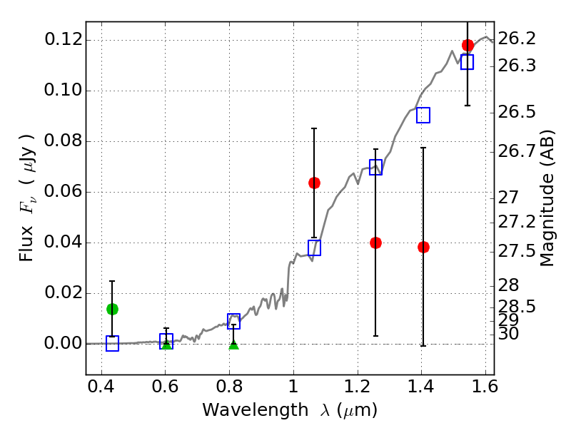
RXC0949+17 IR detection object #532

Color images and BPZ results
Catalog: 532.cat
Black segments are analyzed here.   Roll mouse over color images to view segments.
Best viewed in a wide browser window (1200 pixels or more).   Download SED & P(z) plots to view larger versions.
In P(z) plots: Yellow lines mark the cluster redshift z = 0.383,  

Object #532   x,y = (3778, 2390)   RA, Dec = (09:49:45.744, 17:07:08.76) = (147.44060, 17.11910)   BPZ = 1.471 [1.114--7.266]   type = 2.00 (Ell6_A_0)   chisq2 = 0.94   ODDS = 0.15   z_cluster = 0.383