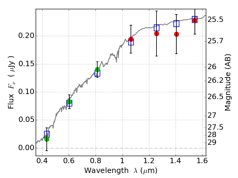
RXC0949+17 IR detection object #497

Color images and BPZ results
Catalog: 497.cat
Black segments are analyzed here.   Roll mouse over color images to view segments.
Best viewed in a wide browser window (1200 pixels or more).   Download SED & P(z) plots to view larger versions.
In P(z) plots: Yellow lines mark the cluster redshift z = 0.383,  

Object #497   x,y = (1955, 2583)   RA, Dec = (09:49:53.376, 17:07:20.28) = (147.47240, 17.12230)   BPZ = 0.125 [0.052--4.075]   type = 4.00 (Ell4_A_0)   chisq2 = 0.10   ODDS = 0.15   z_cluster = 0.383