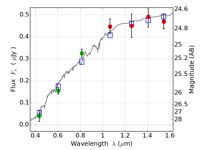
RXC0949+17 IR detection object #414

Color images and BPZ results
Catalog: 414.cat
Black segments are analyzed here.   Roll mouse over color images to view segments.
Best viewed in a wide browser window (1200 pixels or more).   Download SED & P(z) plots to view larger versions.
In P(z) plots: Yellow lines mark the cluster redshift z = 0.383,  

Object #414   x,y = (1893, 2714)   RA, Dec = (09:49:53.640, 17:07:28.20) = (147.47350, 17.12450)   BPZ = 0.118 [0.049--4.232]   type = 4.00 (Ell4_A_0)   chisq2 = 0.48   ODDS = 0.31   z_cluster = 0.383