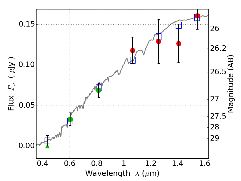
RXC0949+17 IR detection object #342

Color images and BPZ results
Catalog: 342.cat
Black segments are analyzed here.   Roll mouse over color images to view segments.
Best viewed in a wide browser window (1200 pixels or more).   Download SED & P(z) plots to view larger versions.
In P(z) plots: Yellow lines mark the cluster redshift z = 0.383,  

Object #342   x,y = (1979, 2756)   RA, Dec = (09:49:53.280, 17:07:30.72) = (147.47200, 17.12520)   BPZ = 0.349 [0.154--4.100]   type = 3.00 (Ell5_A_0)   chisq2 = 0.24   ODDS = 0.28   z_cluster = 0.383