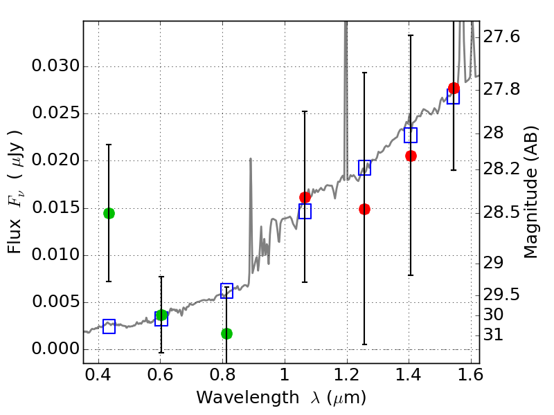
RXC0949+17 IR detection object #119

Color images and BPZ results
Catalog: 119.cat
Black segments are analyzed here.   Roll mouse over color images to view segments.
Best viewed in a wide browser window (1200 pixels or more).   Download SED & P(z) plots to view larger versions.
In P(z) plots: Yellow lines mark the cluster redshift z = 0.383,  

Object #119   x,y = (2810, 3227)   RA, Dec = (09:49:49.800, 17:07:58.80) = (147.45750, 17.13300)   BPZ = 1.387 [0.556--7.574]   type = 6.90 (Scd_B10 - Sbc_B10)   chisq2 = 0.59   ODDS = 0.09   z_cluster = 0.383