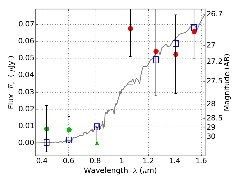
RXC0949+17 IR detection object #841

Color images and BPZ results
Catalog: 841.cat
Black segments are analyzed here.   Roll mouse over color images to view segments.
Best viewed in a wide browser window (1200 pixels or more).   Download SED & P(z) plots to view larger versions.
In P(z) plots: Yellow lines mark the cluster redshift z = 0.383,  

Object #841   x,y = (3464, 1767)   RA, Dec = (09:49:48.744, 17:06:37.44) = (147.45310, 17.11040)   BPZ = 1.188 [0.886--7.488]   type = 3.00 (Ell5_A_0)   chisq2 = 0.99   ODDS = 0.11   z_cluster = 0.383