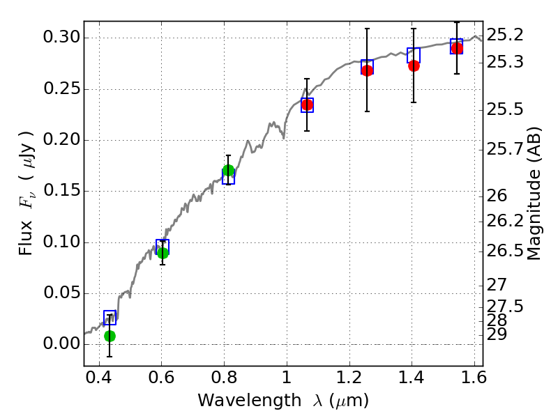
RXC0949+17 IR detection object #840

Color images and BPZ results
Catalog: 840.cat
Black segments are analyzed here.   Roll mouse over color images to view segments.
Best viewed in a wide browser window (1200 pixels or more).   Download SED & P(z) plots to view larger versions.
In P(z) plots: Yellow lines mark the cluster redshift z = 0.383,  

Object #840   x,y = (3813, 1767)   RA, Dec = (09:49:47.280, 17:06:37.44) = (147.44700, 17.11040)   BPZ = 0.162 [0.062--4.173]   type = 4.00 (Ell4_A_0)   chisq2 = 0.10   ODDS = 0.33   z_cluster = 0.383