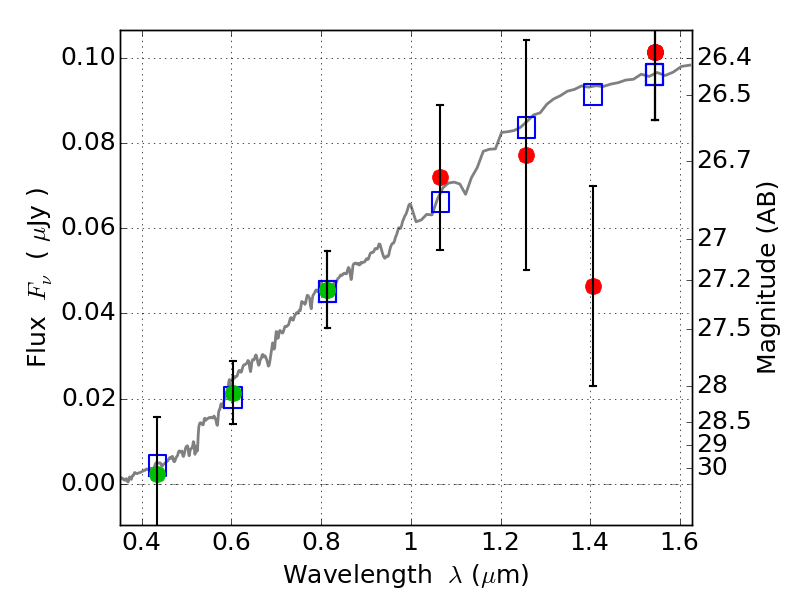
RXC0949+17 IR detection object #761

Color images and BPZ results
Catalog: 761.cat
Black segments are analyzed here.   Roll mouse over color images to view segments.
Best viewed in a wide browser window (1200 pixels or more).   Download SED & P(z) plots to view larger versions.
In P(z) plots: Yellow lines mark the cluster redshift z = 0.383,  

Object #761   x,y = (2026, 1923)   RA, Dec = (09:49:54.768, 17:06:46.80) = (147.47820, 17.11300)   BPZ = 0.318 [0.137--4.428]   type = 3.00 (Ell5_A_0)   chisq2 = 0.55   ODDS = 0.14   z_cluster = 0.383