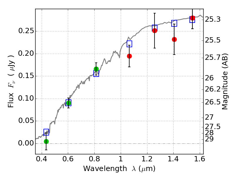
RXC0949+17 IR detection object #519

Color images and BPZ results
Catalog: 519.cat
Black segments are analyzed here.   Roll mouse over color images to view segments.
Best viewed in a wide browser window (1200 pixels or more).   Download SED & P(z) plots to view larger versions.
In P(z) plots: Yellow lines mark the cluster redshift z = 0.383,  

Object #519   x,y = (2317, 2321)   RA, Dec = (09:49:53.544, 17:07:10.56) = (147.47310, 17.11960)   BPZ = 0.160 [0.085--4.211]   type = 4.00 (Ell4_A_0)   chisq2 = 0.38   ODDS = 0.11   z_cluster = 0.383