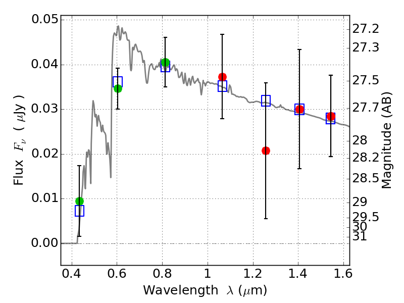
RXC0949+17 IR detection object #467

Color images and BPZ results
Catalog: 467.cat
Black segments are analyzed here.   Roll mouse over color images to view segments.
Best viewed in a wide browser window (1200 pixels or more).   Download SED & P(z) plots to view larger versions.
In P(z) plots: Yellow lines mark the cluster redshift z = 0.383,  

Object #467   x,y = (3327, 2429)   RA, Dec = (09:49:49.320, 17:07:17.04) = (147.45550, 17.12140)   BPZ = 3.731 [0.233--4.104]   type = 10.50 (SB11_A_0_l - SB3_B10)   chisq2 = 0.11   ODDS = 0.54   z_cluster = 0.383