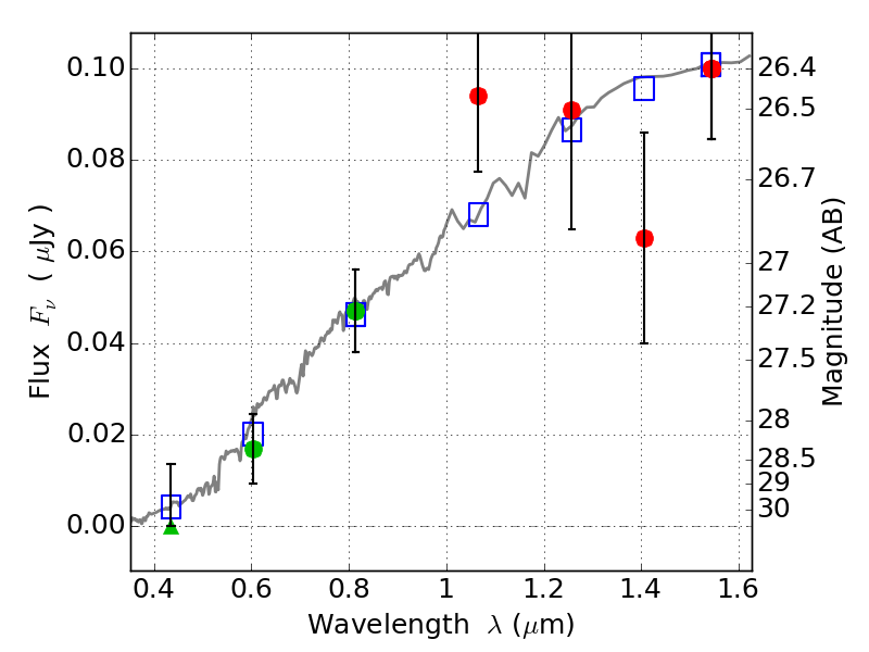
RXC0949+17 IR detection object #321

Color images and BPZ results
Catalog: 321.cat
Black segments are analyzed here.   Roll mouse over color images to view segments.
Best viewed in a wide browser window (1200 pixels or more).   Download SED & P(z) plots to view larger versions.
In P(z) plots: Yellow lines mark the cluster redshift z = 0.383,  

Object #321   x,y = (3240, 2680)   RA, Dec = (09:49:49.680, 17:07:32.16) = (147.45700, 17.12560)   BPZ = 0.344 [0.149--5.320]   type = 3.00 (Ell5_A_0)   chisq2 = 0.60   ODDS = 0.17   z_cluster = 0.383