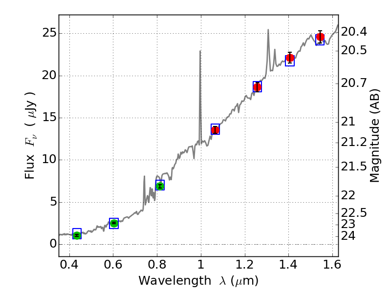
RXC0949+17 IR detection object #221

Color images and BPZ results
Catalog: 221.cat
Black segments are analyzed here.   Roll mouse over color images to view segments.
Best viewed in a wide browser window (1200 pixels or more).   Download SED & P(z) plots to view larger versions.
In P(z) plots: Yellow lines mark the cluster redshift z = 0.383,  

Object #221   x,y = (2370, 2848)   RA, Dec = (09:49:53.328, 17:07:42.24) = (147.47220, 17.12840)   BPZ = 0.990 [0.906--1.050]   type = 6.40 (Sbc_B10 - Scd_B10)   chisq2 = 0.03   ODDS = 0.97   z_cluster = 0.383