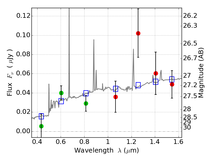
RXC0949+17 IR detection object #22

Color images and BPZ results
Catalog: 22.cat
Black segments are analyzed here.   Roll mouse over color images to view segments.
Best viewed in a wide browser window (1200 pixels or more).   Download SED & P(z) plots to view larger versions.
In P(z) plots: Yellow lines mark the cluster redshift z = 0.383,  

Object #22   x,y = (2322, 3491)   RA, Dec = (09:49:53.520, 17:08:20.76) = (147.47300, 17.13910)   BPZ = 0.339 [0.154--3.843]   type = 8.80 (SB2_B10 - SB1_B10)   chisq2 = 2.03   ODDS = 0.08   z_cluster = 0.383