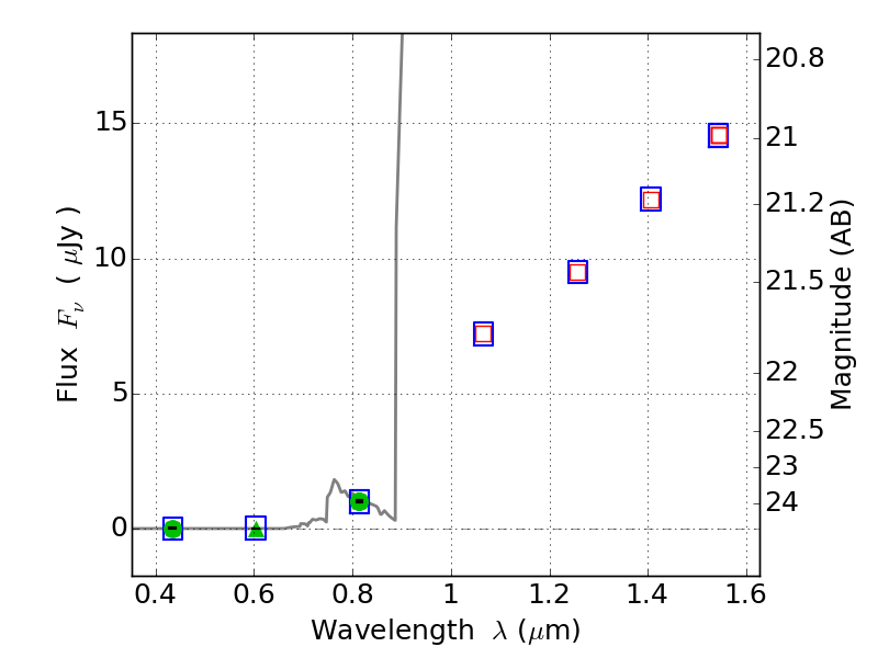
RXC0949+17 ACS+IR detection object #746
Color images and BPZ results
Catalog: 746.cat
Black segments are analyzed here. Roll mouse over color images to view segments.
Best viewed in a wide browser window (1200 pixels or more). Download SED & P(z) plots to view larger versions.
In P(z) plots: Yellow lines mark the cluster redshift z = 0.383,
Object #746 x,y = (4225, 3618) RA, Dec = (09:49:45.552, 17:08:28.32) = (147.43980, 17.14120) BPZ = 6.298 [5.961--8.853] type = 6.00 (Sbc_B10) chisq2 = 0.00 ODDS = 0.39 z_cluster = 0.383