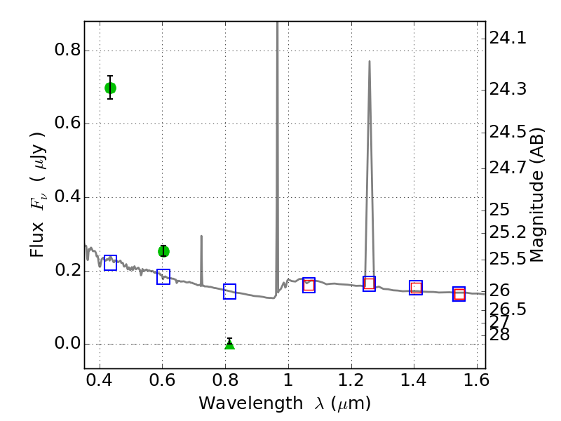
RXC0949+17 ACS+IR detection object #734

Color images and BPZ results
Catalog: 734.cat
Black segments are analyzed here.   Roll mouse over color images to view segments.
Best viewed in a wide browser window (1200 pixels or more).   Download SED & P(z) plots to view larger versions.
In P(z) plots: Yellow lines mark the cluster redshift z = 0.383,  

Object #734   x,y = (4179, 3627)   RA, Dec = (09:49:45.744, 17:08:29.04) = (147.44060, 17.14140)   BPZ = 1.594 [1.415--1.952]   type = 11.00 (SB11_A_0_l)   chisq2 = 282.30   ODDS = 0.78   z_cluster = 0.383