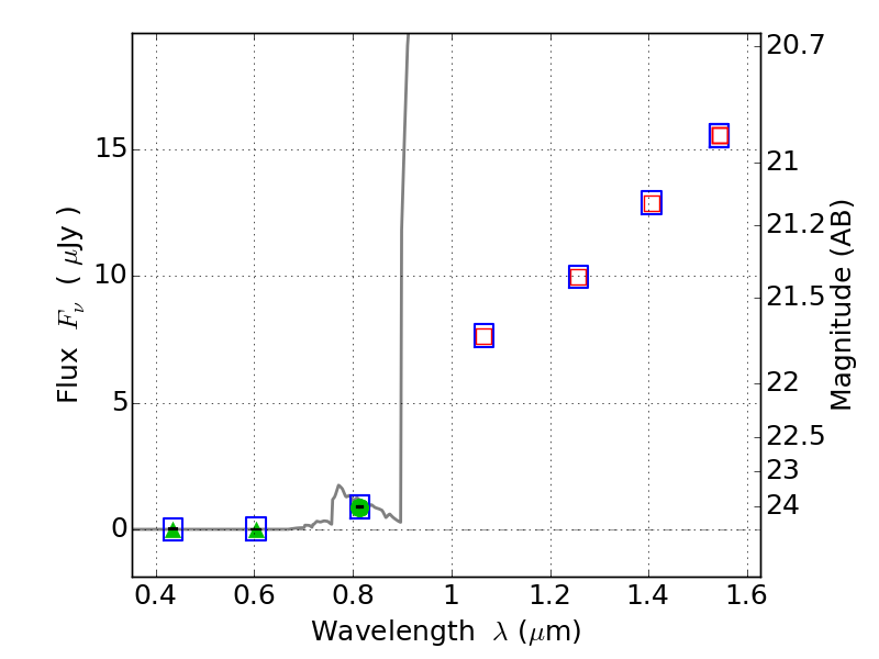
RXC0949+17 ACS+IR detection object #5253

Color images and BPZ results
Catalog: 5253.cat
Black segments are analyzed here.   Roll mouse over color images to view segments.
Best viewed in a wide browser window (1200 pixels or more).   Download SED & P(z) plots to view larger versions.
In P(z) plots: Yellow lines mark the cluster redshift z = 0.383,  

Object #5253   x,y = (1713, 901)   RA, Dec = (09:49:56.088, 17:05:45.24) = (147.48370, 17.09590)   BPZ = 6.384 [5.980--8.851]   type = 6.00 (Sbc_B10)   chisq2 = 0.00   ODDS = 0.41   z_cluster = 0.383