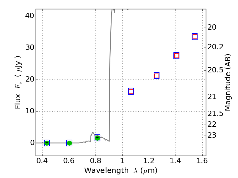
RXC0949+17 ACS+IR detection object #515

Color images and BPZ results
Catalog: 515.cat
Black segments are analyzed here.   Roll mouse over color images to view segments.
Best viewed in a wide browser window (1200 pixels or more).   Download SED & P(z) plots to view larger versions.
In P(z) plots: Yellow lines mark the cluster redshift z = 0.383,  

Object #515   x,y = (2016, 3820)   RA, Dec = (09:49:54.816, 17:08:40.56) = (147.47840, 17.14460)   BPZ = 6.444 [6.149--9.550]   type = 6.00 (Sbc_B10)   chisq2 = 0.00   ODDS = 0.45   z_cluster = 0.383