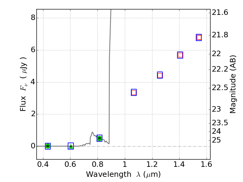
RXC0949+17 ACS+IR detection object #5128
Color images and BPZ results
Catalog: 5128.cat
Black segments are analyzed here. Roll mouse over color images to view segments.
Best viewed in a wide browser window (1200 pixels or more). Download SED & P(z) plots to view larger versions.
In P(z) plots: Yellow lines mark the cluster redshift z = 0.383,
Object #5128 x,y = (1620, 1005) RA, Dec = (09:49:56.472, 17:05:51.72) = (147.48530, 17.09770) BPZ = 6.276 [5.888--8.992] type = 6.00 (Sbc_B10) chisq2 = 0.00 ODDS = 0.37 z_cluster = 0.383