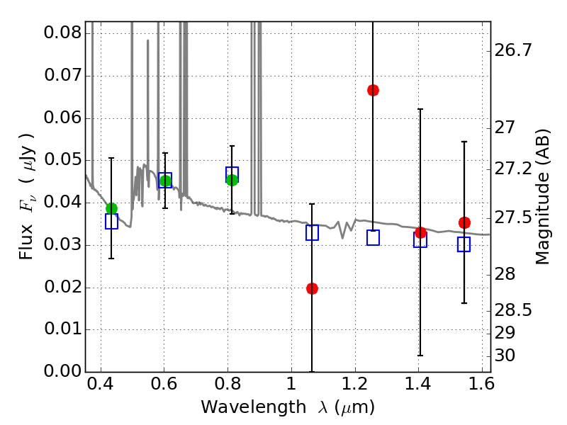
RXC0949+17 ACS+IR detection object #4889

Color images and BPZ results
Catalog: 4889.cat
Black segments are analyzed here.   Roll mouse over color images to view segments.
Best viewed in a wide browser window (1200 pixels or more).   Download SED & P(z) plots to view larger versions.
In P(z) plots: Yellow lines mark the cluster redshift z = 0.383,  

Object #4889   x,y = (3819, 1220)   RA, Dec = (09:49:47.256, 17:06:04.68) = (147.44690, 17.10130)   BPZ = 0.341 [0.143--3.393]   type = 11.00 (SB11_A_0_l)   chisq2 = 0.26   ODDS = 0.10   z_cluster = 0.383