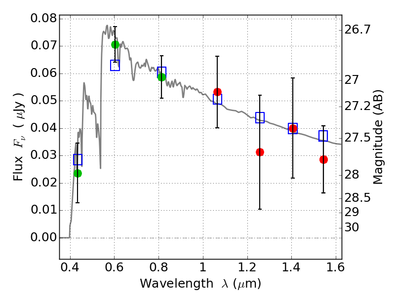
RXC0949+17 ACS+IR detection object #4744
Color images and BPZ results
Catalog: 4744.cat
Black segments are analyzed here. Roll mouse over color images to view segments.
Best viewed in a wide browser window (1200 pixels or more). Download SED & P(z) plots to view larger versions.
In P(z) plots: Yellow lines mark the cluster redshift z = 0.383,
Object #4744 x,y = (3630, 1319) RA, Dec = (09:49:48.048, 17:06:10.44) = (147.45020, 17.10290) BPZ = 3.427 [0.157--3.702] type = 11.00 (SB11_A_0_l) chisq2 = 0.42 ODDS = 0.62 z_cluster = 0.383