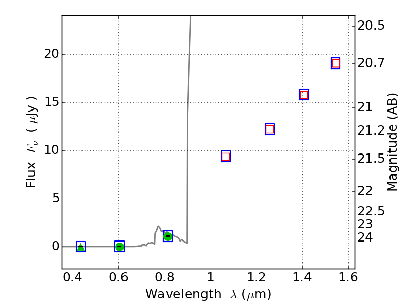
RXC0949+17 ACS+IR detection object #4016

Color images and BPZ results
Catalog: 4016.cat
Black segments are analyzed here.   Roll mouse over color images to view segments.
Best viewed in a wide browser window (1200 pixels or more).   Download SED & P(z) plots to view larger versions.
In P(z) plots: Yellow lines mark the cluster redshift z = 0.383,  

Object #4016   x,y = (1225, 1783)   RA, Dec = (09:49:58.128, 17:06:38.16) = (147.49220, 17.11060)   BPZ = 6.386 [6.012--8.800]   type = 6.00 (Sbc_B10)   chisq2 = 0.00   ODDS = 0.43   z_cluster = 0.383