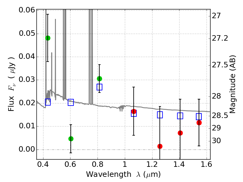
RXC0949+17 ACS+IR detection object #3591

Color images and BPZ results
Catalog: 3591.cat
Black segments are analyzed here.   Roll mouse over color images to view segments.
Best viewed in a wide browser window (1200 pixels or more).   Download SED & P(z) plots to view larger versions.
In P(z) plots: Yellow lines mark the cluster redshift z = 0.383,  

Object #3591   x,y = (3194, 2023)   RA, Dec = (09:49:49.872, 17:06:52.56) = (147.45780, 17.11460)   BPZ = 0.131 [0.091--2.545]   type = 11.00 (SB11_A_0_l)   chisq2 = 2.14   ODDS = 0.25   z_cluster = 0.383