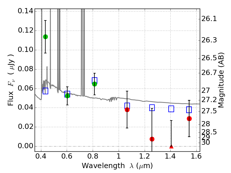
RXC0949+17 ACS+IR detection object #3577

Color images and BPZ results
Catalog: 3577.cat
Black segments are analyzed here.   Roll mouse over color images to view segments.
Best viewed in a wide browser window (1200 pixels or more).   Download SED & P(z) plots to view larger versions.
In P(z) plots: Yellow lines mark the cluster redshift z = 0.383,  

Object #3577   x,y = (3315, 2026)   RA, Dec = (09:49:49.368, 17:06:52.92) = (147.45570, 17.11470)   BPZ = 0.090 [0.073--2.699]   type = 11.00 (SB11_A_0_l)   chisq2 = 2.05   ODDS = 0.14   z_cluster = 0.383