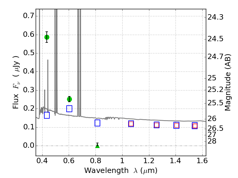
RXC0949+17 ACS+IR detection object #326

Color images and BPZ results
Catalog: 326.cat
Black segments are analyzed here.   Roll mouse over color images to view segments.
Best viewed in a wide browser window (1200 pixels or more).   Download SED & P(z) plots to view larger versions.
In P(z) plots: Yellow lines mark the cluster redshift z = 0.383,  

Object #326   x,y = (3959, 4013)   RA, Dec = (09:49:46.680, 17:08:52.08) = (147.44450, 17.14780)   BPZ = 0.019 [0.011--1.917]   type = 11.00 (SB11_A_0_l)   chisq2 = 255.90   ODDS = 0.36   z_cluster = 0.383