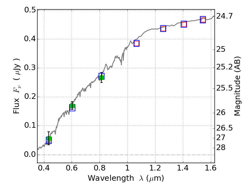
RXC0949+17 ACS+IR detection object #3211

Color images and BPZ results
Catalog: 3211.cat
Black segments are analyzed here.   Roll mouse over color images to view segments.
Best viewed in a wide browser window (1200 pixels or more).   Download SED & P(z) plots to view larger versions.
In P(z) plots: Yellow lines mark the cluster redshift z = 0.383,  

Object #3211   x,y = (1357, 2186)   RA, Dec = (09:49:57.576, 17:07:02.64) = (147.48990, 17.11740)   BPZ = 0.125 [0.057--3.652]   type = 4.00 (Ell4_A_0)   chisq2 = 0.10   ODDS = 0.12   z_cluster = 0.383