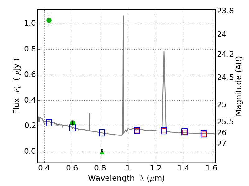
RXC0949+17 ACS+IR detection object #2728

Color images and BPZ results
Catalog: 2728.cat
Black segments are analyzed here.   Roll mouse over color images to view segments.
Best viewed in a wide browser window (1200 pixels or more).   Download SED & P(z) plots to view larger versions.
In P(z) plots: Yellow lines mark the cluster redshift z = 0.383,  

Object #2728   x,y = (4879, 2426)   RA, Dec = (09:49:42.816, 17:07:17.04) = (147.42840, 17.12140)   BPZ = 1.593 [1.507--1.981]   type = 11.00 (SB11_A_0_l)   chisq2 = 424.90   ODDS = 0.77   z_cluster = 0.383