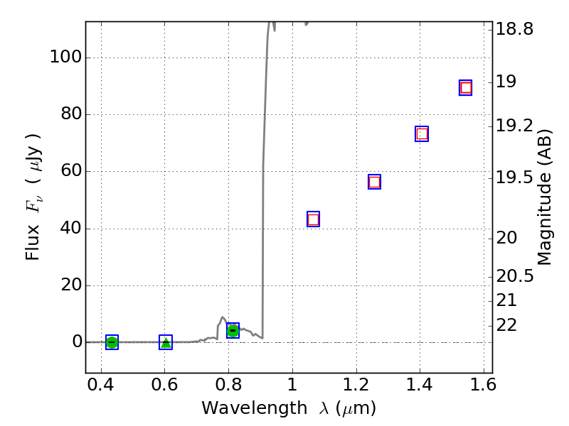
RXC0949+17 ACS+IR detection object #2495
Color images and BPZ results
Catalog: 2495.cat
Black segments are analyzed here. Roll mouse over color images to view segments.
Best viewed in a wide browser window (1200 pixels or more). Download SED & P(z) plots to view larger versions.
In P(z) plots: Yellow lines mark the cluster redshift z = 0.383,
Object #2495 x,y = (4818, 2525) RA, Dec = (09:49:43.080, 17:07:22.80) = (147.42950, 17.12300) BPZ = 6.472 [6.198--8.346] type = 6.00 (Sbc_B10) chisq2 = 0.00 ODDS = 0.53 z_cluster = 0.383