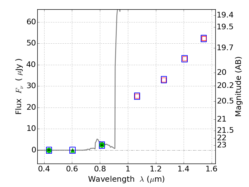
RXC0949+17 ACS+IR detection object #1855

Color images and BPZ results
Catalog: 1855.cat
Black segments are analyzed here.   Roll mouse over color images to view segments.
Best viewed in a wide browser window (1200 pixels or more).   Download SED & P(z) plots to view larger versions.
In P(z) plots: Yellow lines mark the cluster redshift z = 0.383,  

Object #1855   x,y = (4585, 2922)   RA, Dec = (09:49:44.064, 17:07:46.56) = (147.43360, 17.12960)   BPZ = 6.460 [6.140--8.715]   type = 6.00 (Sbc_B10)   chisq2 = 0.00   ODDS = 0.49   z_cluster = 0.383