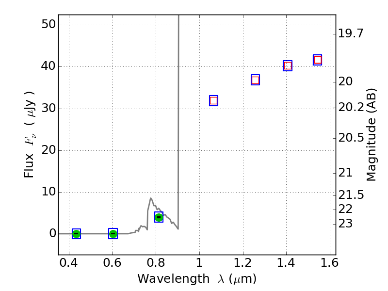
RXC0949+17 ACS+IR detection object #1524

Color images and BPZ results
Catalog: 1524.cat
Black segments are analyzed here.   Roll mouse over color images to view segments.
Best viewed in a wide browser window (1200 pixels or more).   Download SED & P(z) plots to view larger versions.
In P(z) plots: Yellow lines mark the cluster redshift z = 0.383,  

Object #1524   x,y = (478, 3120)   RA, Dec = (09:50:01.248, 17:07:58.44) = (147.50520, 17.13290)   BPZ = 6.434 [6.225--8.189]   type = 8.00 (SB1_B10)   chisq2 = 0.00   ODDS = 0.65   z_cluster = 0.383