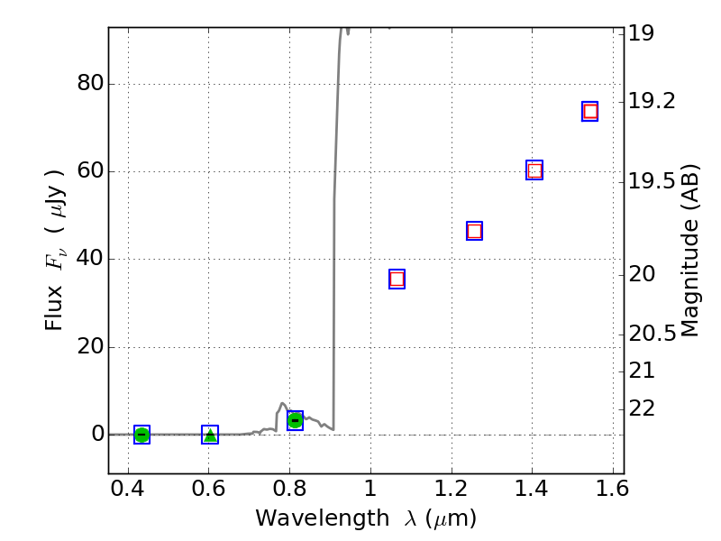
RXC0949+17 ACS+IR detection object #1182

Color images and BPZ results
Catalog: 1182.cat
Black segments are analyzed here.   Roll mouse over color images to view segments.
Best viewed in a wide browser window (1200 pixels or more).   Download SED & P(z) plots to view larger versions.
In P(z) plots: Yellow lines mark the cluster redshift z = 0.383,  

Object #1182   x,y = (4329, 3375)   RA, Dec = (09:49:45.120, 17:08:13.92) = (147.43800, 17.13720)   BPZ = 6.478 [6.230--8.514]   type = 6.00 (Sbc_B10)   chisq2 = 0.00   ODDS = 0.50   z_cluster = 0.383