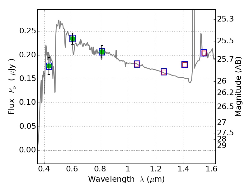
RXC0949+17 ACS+IR detection object #1001

Color images and BPZ results
Catalog: 1001.cat
Black segments are analyzed here.   Roll mouse over color images to view segments.
Best viewed in a wide browser window (1200 pixels or more).   Download SED & P(z) plots to view larger versions.
In P(z) plots: Yellow lines mark the cluster redshift z = 0.383,  

Object #1001   x,y = (1554, 3470)   RA, Dec = (09:49:56.736, 17:08:19.68) = (147.48640, 17.13880)   BPZ = 2.936 [0.054--3.175]   type = 10.40 (SB3_B10 - SB11_A_0_l)   chisq2 = 0.00   ODDS = 0.59   z_cluster = 0.383