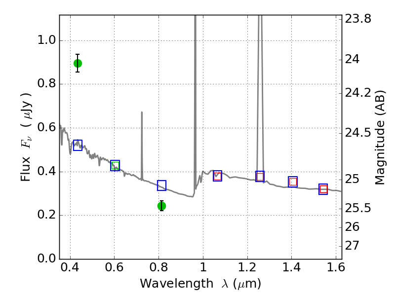
RXC0949+17 ACS+IR detection object #5808

Color images and BPZ results
Catalog: 5808.cat
Black segments are analyzed here.   Roll mouse over color images to view segments.
Best viewed in a wide browser window (1200 pixels or more).   Download SED & P(z) plots to view larger versions.
In P(z) plots: Yellow lines mark the cluster redshift z = 0.383,  

Object #5808   x,y = (2061, 212)   RA, Dec = (09:49:54.624, 17:05:04.20) = (147.47760, 17.08450)   BPZ = 1.593 [1.482--2.006]   type = 11.00 (SB11_A_0_l)   chisq2 = 59.59   ODDS = 0.75   z_cluster = 0.383