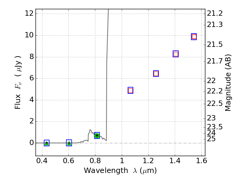
RXC0949+17 ACS+IR detection object #5490

Color images and BPZ results
Catalog: 5490.cat
Black segments are analyzed here.   Roll mouse over color images to view segments.
Best viewed in a wide browser window (1200 pixels or more).   Download SED & P(z) plots to view larger versions.
In P(z) plots: Yellow lines mark the cluster redshift z = 0.383,  

Object #5490   x,y = (1838, 645)   RA, Dec = (09:49:55.560, 17:05:30.12) = (147.48150, 17.09170)   BPZ = 6.291 [5.924--8.899]   type = 6.00 (Sbc_B10)   chisq2 = 0.00   ODDS = 0.38   z_cluster = 0.383