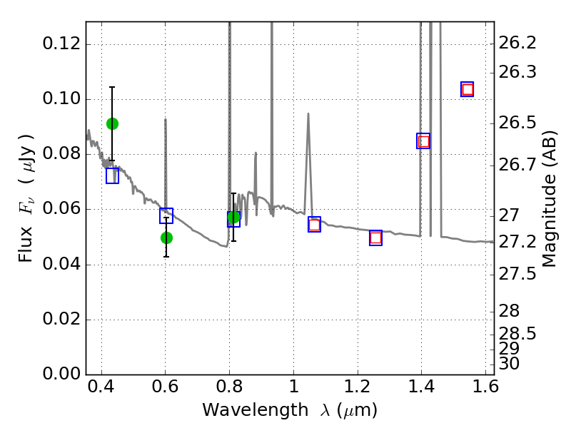
RXC0949+17 ACS+IR detection object #4989

Color images and BPZ results
Catalog: 4989.cat
Black segments are analyzed here.   Roll mouse over color images to view segments.
Best viewed in a wide browser window (1200 pixels or more).   Download SED & P(z) plots to view larger versions.
In P(z) plots: Yellow lines mark the cluster redshift z = 0.383,  

Object #4989   x,y = (3478, 1124)   RA, Dec = (09:49:48.696, 17:05:58.92) = (147.45290, 17.09970)   BPZ = 1.146 [0.696--2.495]   type = 11.00 (SB11_A_0_l)   chisq2 = 2.21   ODDS = 0.17   z_cluster = 0.383