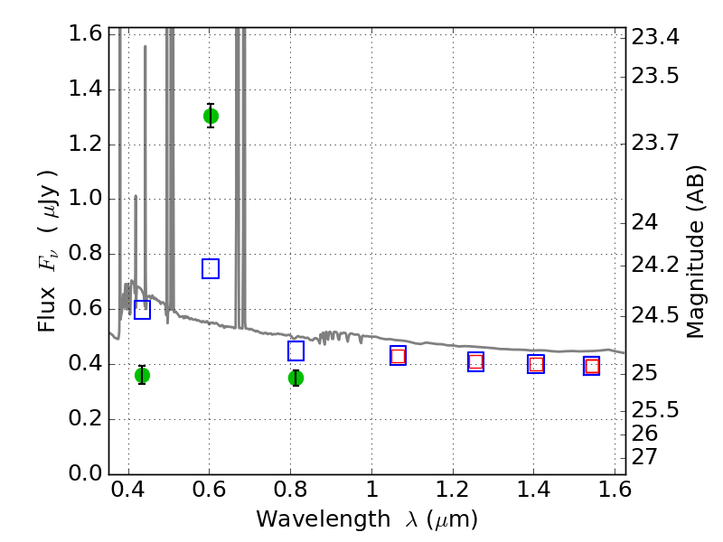
RXC0949+17 ACS+IR detection object #465

Color images and BPZ results
Catalog: 465.cat
Black segments are analyzed here.   Roll mouse over color images to view segments.
Best viewed in a wide browser window (1200 pixels or more).   Download SED & P(z) plots to view larger versions.
In P(z) plots: Yellow lines mark the cluster redshift z = 0.383,  

Object #465   x,y = (4062, 3857)   RA, Dec = (09:49:46.248, 17:08:42.72) = (147.44270, 17.14520)   BPZ = 0.016 [0.010--0.031]   type = 11.00 (SB11_A_0_l)   chisq2 = 94.95   ODDS = 1.00   z_cluster = 0.383