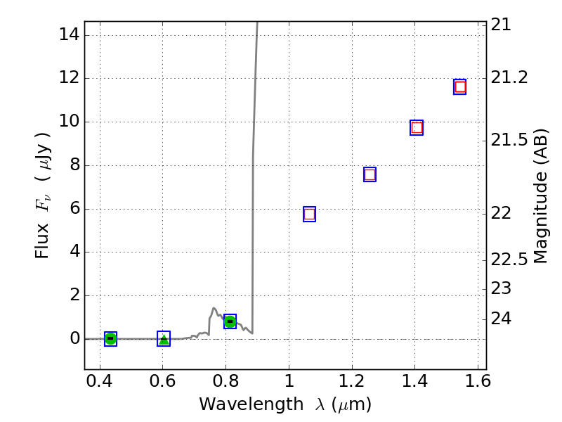
RXC0949+17 ACS+IR detection object #4621

Color images and BPZ results
Catalog: 4621.cat
Black segments are analyzed here.   Roll mouse over color images to view segments.
Best viewed in a wide browser window (1200 pixels or more).   Download SED & P(z) plots to view larger versions.
In P(z) plots: Yellow lines mark the cluster redshift z = 0.383,  

Object #4621   x,y = (1423, 1404)   RA, Dec = (09:49:57.288, 17:06:15.48) = (147.48870, 17.10430)   BPZ = 6.295 [5.940--8.915]   type = 6.00 (Sbc_B10)   chisq2 = 0.00   ODDS = 0.39   z_cluster = 0.383