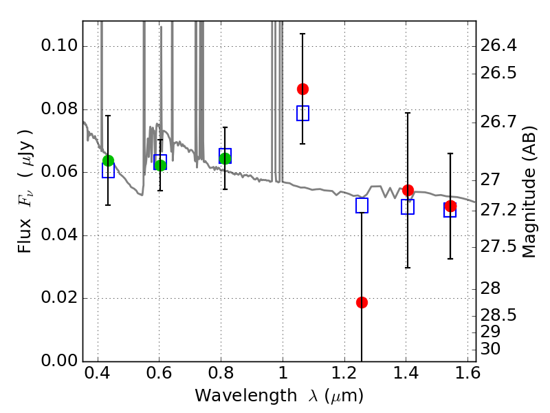
RXC0949+17 ACS+IR detection object #3924

Color images and BPZ results
Catalog: 3924.cat
Black segments are analyzed here.   Roll mouse over color images to view segments.
Best viewed in a wide browser window (1200 pixels or more).   Download SED & P(z) plots to view larger versions.
In P(z) plots: Yellow lines mark the cluster redshift z = 0.383,  

Object #3924   x,y = (3499, 1828)   RA, Dec = (09:49:48.600, 17:06:41.04) = (147.45250, 17.11140)   BPZ = 0.481 [0.231--3.084]   type = 11.00 (SB11_A_0_l)   chisq2 = 0.21   ODDS = 0.28   z_cluster = 0.383