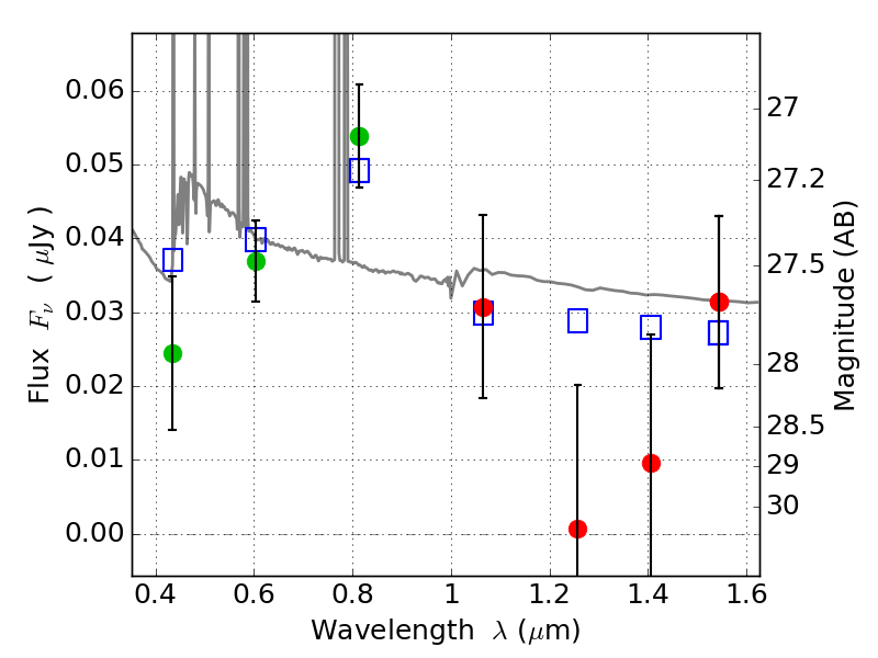
RXC0949+17 ACS+IR detection object #3656

Color images and BPZ results
Catalog: 3656.cat
Black segments are analyzed here.   Roll mouse over color images to view segments.
Best viewed in a wide browser window (1200 pixels or more).   Download SED & P(z) plots to view larger versions.
In P(z) plots: Yellow lines mark the cluster redshift z = 0.383,  

Object #3656   x,y = (1755, 1990)   RA, Dec = (09:49:55.896, 17:06:50.76) = (147.48290, 17.11410)   BPZ = 0.173 [0.095--3.829]   type = 11.00 (SB11_A_0_l)   chisq2 = 0.82   ODDS = 0.38   z_cluster = 0.383