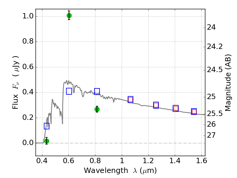
RXC0949+17 ACS+IR detection object #3615

Color images and BPZ results
Catalog: 3615.cat
Black segments are analyzed here.   Roll mouse over color images to view segments.
Best viewed in a wide browser window (1200 pixels or more).   Download SED & P(z) plots to view larger versions.
In P(z) plots: Yellow lines mark the cluster redshift z = 0.383,  

Object #3615   x,y = (5028, 2165)   RA, Dec = (09:49:42.192, 17:07:01.20) = (147.42580, 17.11700)   BPZ = 3.567 [3.430--3.637]   type = 11.00 (SB11_A_0_l)   chisq2 = 234.50   ODDS = 1.00   z_cluster = 0.383