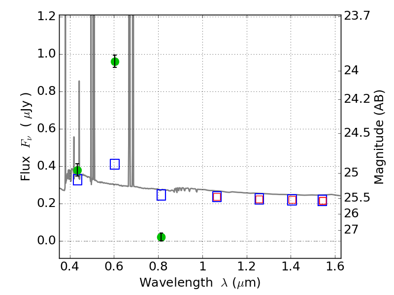
RXC0949+17 ACS+IR detection object #359

Color images and BPZ results
Catalog: 359.cat
Black segments are analyzed here.   Roll mouse over color images to view segments.
Best viewed in a wide browser window (1200 pixels or more).   Download SED & P(z) plots to view larger versions.
In P(z) plots: Yellow lines mark the cluster redshift z = 0.383,  

Object #359   x,y = (3972, 4028)   RA, Dec = (09:49:46.632, 17:08:53.16) = (147.44430, 17.14810)   BPZ = 0.016 [0.010--0.031]   type = 11.00 (SB11_A_0_l)   chisq2 = 251.20   ODDS = 1.00   z_cluster = 0.383