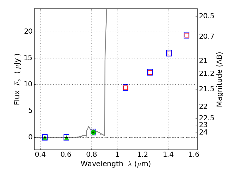
RXC0949+17 ACS+IR detection object #3514

Color images and BPZ results
Catalog: 3514.cat
Black segments are analyzed here.   Roll mouse over color images to view segments.
Best viewed in a wide browser window (1200 pixels or more).   Download SED & P(z) plots to view larger versions.
In P(z) plots: Yellow lines mark the cluster redshift z = 0.383,  

Object #3514   x,y = (1061, 2058)   RA, Dec = (09:49:58.800, 17:06:54.72) = (147.49500, 17.11520)   BPZ = 6.428 [6.028--8.844]   type = 6.00 (Sbc_B10)   chisq2 = 0.00   ODDS = 0.43   z_cluster = 0.383