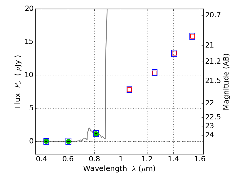
RXC0949+17 ACS+IR detection object #3054

Color images and BPZ results
Catalog: 3054.cat
Black segments are analyzed here.   Roll mouse over color images to view segments.
Best viewed in a wide browser window (1200 pixels or more).   Download SED & P(z) plots to view larger versions.
In P(z) plots: Yellow lines mark the cluster redshift z = 0.383,  

Object #3054   x,y = (4976, 2258)   RA, Dec = (09:49:42.408, 17:07:06.96) = (147.42670, 17.11860)   BPZ = 6.273 [5.932--8.801]   type = 6.00 (Sbc_B10)   chisq2 = 0.00   ODDS = 0.45   z_cluster = 0.383