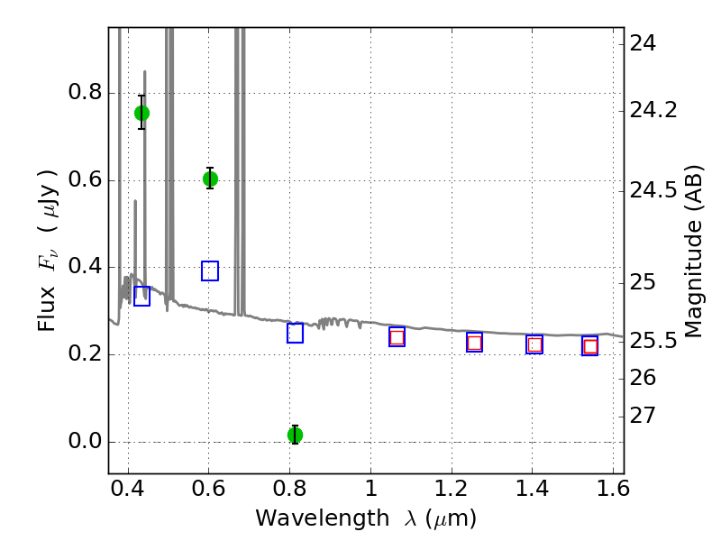
RXC0949+17 ACS+IR detection object #2815

Color images and BPZ results
Catalog: 2815.cat
Black segments are analyzed here.   Roll mouse over color images to view segments.
Best viewed in a wide browser window (1200 pixels or more).   Download SED & P(z) plots to view larger versions.
In P(z) plots: Yellow lines mark the cluster redshift z = 0.383,  

Object #2815   x,y = (4918, 2371)   RA, Dec = (09:49:42.672, 17:07:13.44) = (147.42780, 17.12040)   BPZ = 0.017 [0.010--0.033]   type = 11.00 (SB11_A_0_l)   chisq2 = 216.90   ODDS = 1.00   z_cluster = 0.383