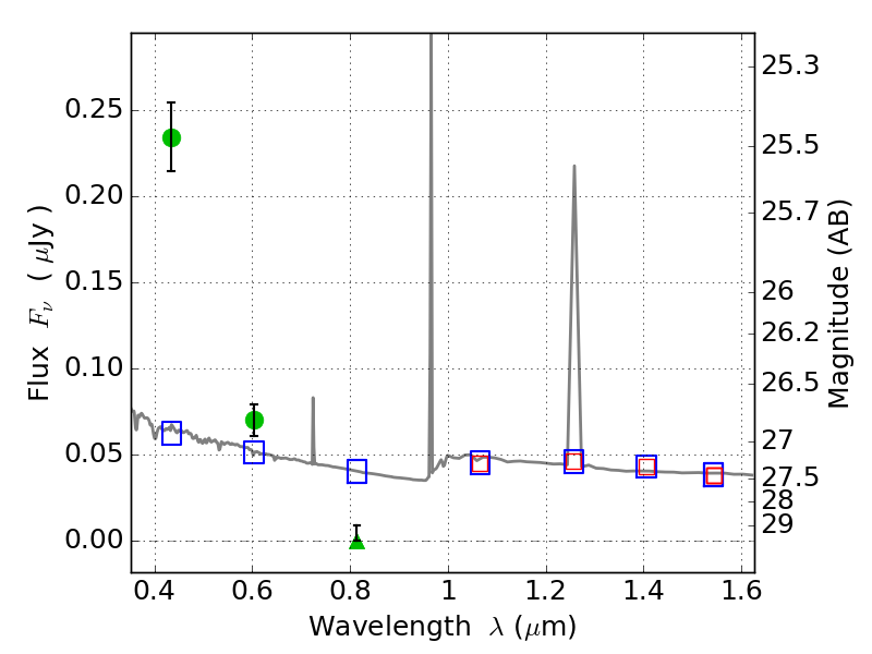
RXC0949+17 ACS+IR detection object #2812

Color images and BPZ results
Catalog: 2812.cat
Black segments are analyzed here.   Roll mouse over color images to view segments.
Best viewed in a wide browser window (1200 pixels or more).   Download SED & P(z) plots to view larger versions.
In P(z) plots: Yellow lines mark the cluster redshift z = 0.383,  

Object #2812   x,y = (4891, 2376)   RA, Dec = (09:49:42.768, 17:07:13.80) = (147.42820, 17.12050)   BPZ = 1.594 [1.391--2.221]   type = 11.00 (SB11_A_0_l)   chisq2 = 106.80   ODDS = 0.37   z_cluster = 0.383