RXC0949+17 ACS+IR detection object #2413

Color images and BPZ results
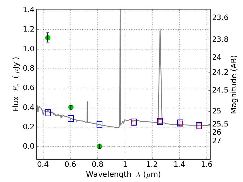
Catalog: 2413.cat
Black segments are analyzed here.   Roll mouse over color images to view segments.
Best viewed in a wide browser window (1200 pixels or more).   Download SED & P(z) plots to view larger versions.
In P(z) plots: Yellow lines mark the cluster redshift z = 0.383,  

Object #2413   x,y = (4780, 2612)   RA, Dec = (09:49:43.248, 17:07:28.20) = (147.43020, 17.12450)   BPZ = 1.594 [0.018--1.913]   type = 11.00 (SB11_A_0_l)   chisq2 = 315.10   ODDS = 0.79   z_cluster = 0.383