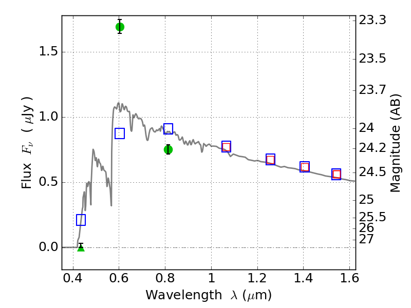
RXC0949+17 ACS+IR detection object #2334

Color images and BPZ results
Catalog: 2334.cat
Black segments are analyzed here.   Roll mouse over color images to view segments.
Best viewed in a wide browser window (1200 pixels or more).   Download SED & P(z) plots to view larger versions.
In P(z) plots: Yellow lines mark the cluster redshift z = 0.383,  

Object #2334   x,y = (4753, 2654)   RA, Dec = (09:49:43.344, 17:07:30.72) = (147.43060, 17.12520)   BPZ = 3.668 [3.623--3.735]   type = 11.00 (SB11_A_0_l)   chisq2 = 124.90   ODDS = 1.00   z_cluster = 0.383