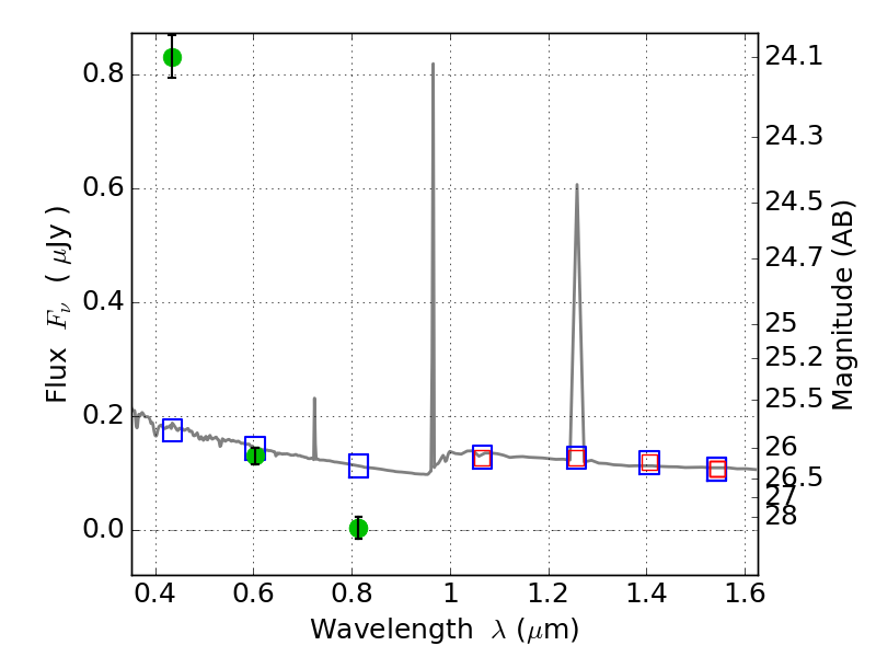
RXC0949+17 ACS+IR detection object #2066

Color images and BPZ results
Catalog: 2066.cat
Black segments are analyzed here.   Roll mouse over color images to view segments.
Best viewed in a wide browser window (1200 pixels or more).   Download SED & P(z) plots to view larger versions.
In P(z) plots: Yellow lines mark the cluster redshift z = 0.383,  

Object #2066   x,y = (4655, 2798)   RA, Dec = (09:49:43.752, 17:07:39.36) = (147.43230, 17.12760)   BPZ = 1.593 [1.441--2.105]   type = 11.00 (SB11_A_0_l)   chisq2 = 332.70   ODDS = 0.57   z_cluster = 0.383